概述
RNN (Recurrent Netural Network) 是用于處理序列數據的神經網絡. 所謂序列數據, 即前面的輸入和后面的輸入有一定的聯系.

權重共享
傳統(tǒng)神經網絡:

RNN:

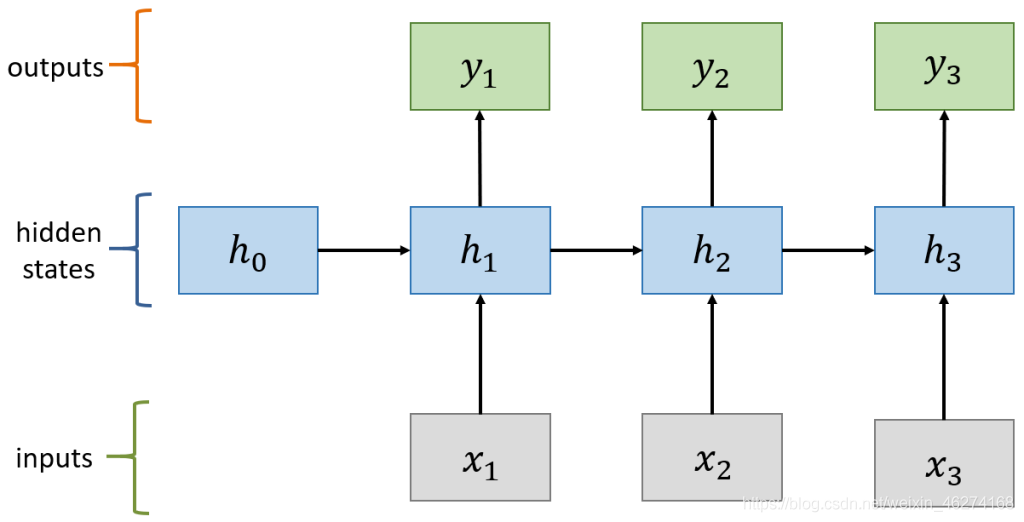
RNN 的權重共享和 CNN 的權重共享類似, 不同時刻共享一個權重, 大大減少了參數數量.
計算過程:

計算狀態(tài) (State)

計算輸出:

案例
數據集
IBIM 數據集包含了來自互聯網的 50000 條關于電影的評論, 分為正面評價和負面評價.
RNN 層
class RNN(tf.keras.Model):
def __init__(self, units):
super(RNN, self).__init__()
# 初始化 [b, 64] (b 表示 batch_size)
self.state0 = [tf.zeros([batch_size, units])]
self.state1 = [tf.zeros([batch_size, units])]
# [b, 80] => [b, 80, 100]
self.embedding = tf.keras.layers.Embedding(total_words, embedding_len, input_length=max_review_len)
self.rnn_cell0 = tf.keras.layers.SimpleRNNCell(units=units, dropout=0.2)
self.rnn_cell1 = tf.keras.layers.SimpleRNNCell(units=units, dropout=0.2)
# [b, 80, 100] => [b, 64] => [b, 1]
self.out_layer = tf.keras.layers.Dense(1)
def call(self, inputs, training=None):
"""
:param inputs: [b, 80]
:param training:
:return:
"""
state0 = self.state0
state1 = self.state1
x = self.embedding(inputs)
for word in tf.unstack(x, axis=1):
out0, state0 = self.rnn_cell0(word, state0, training=training)
out1, state1 = self.rnn_cell1(out0, state1, training=training)
# [b, 64] -> [b, 1]
x = self.out_layer(out1)
prob = tf.sigmoid(x)
return prob
獲取數據
def get_data():
# 獲取數據
(X_train, y_train), (X_test, y_test) = tf.keras.datasets.imdb.load_data(num_words=total_words)
# 更改句子長度
X_train = tf.keras.preprocessing.sequence.pad_sequences(X_train, maxlen=max_review_len)
X_test = tf.keras.preprocessing.sequence.pad_sequences(X_test, maxlen=max_review_len)
# 調試輸出
print(X_train.shape, y_train.shape) # (25000, 80) (25000,)
print(X_test.shape, y_test.shape) # (25000, 80) (25000,)
# 分割訓練集
train_db = tf.data.Dataset.from_tensor_slices((X_train, y_train))
train_db = train_db.shuffle(10000).batch(batch_size, drop_remainder=True)
# 分割測試集
test_db = tf.data.Dataset.from_tensor_slices((X_test, y_test))
test_db = test_db.batch(batch_size, drop_remainder=True)
return train_db, test_db
完整代碼
import tensorflow as tf
class RNN(tf.keras.Model):
def __init__(self, units):
super(RNN, self).__init__()
# 初始化 [b, 64]
self.state0 = [tf.zeros([batch_size, units])]
self.state1 = [tf.zeros([batch_size, units])]
# [b, 80] => [b, 80, 100]
self.embedding = tf.keras.layers.Embedding(total_words, embedding_len, input_length=max_review_len)
self.rnn_cell0 = tf.keras.layers.SimpleRNNCell(units=units, dropout=0.2)
self.rnn_cell1 = tf.keras.layers.SimpleRNNCell(units=units, dropout=0.2)
# [b, 80, 100] => [b, 64] => [b, 1]
self.out_layer = tf.keras.layers.Dense(1)
def call(self, inputs, training=None):
"""
:param inputs: [b, 80]
:param training:
:return:
"""
state0 = self.state0
state1 = self.state1
x = self.embedding(inputs)
for word in tf.unstack(x, axis=1):
out0, state0 = self.rnn_cell0(word, state0, training=training)
out1, state1 = self.rnn_cell1(out0, state1, training=training)
# [b, 64] -> [b, 1]
x = self.out_layer(out1)
prob = tf.sigmoid(x)
return prob
# 超參數
total_words = 10000 # 文字數量
max_review_len = 80 # 句子長度
embedding_len = 100 # 詞維度
batch_size = 1024 # 一次訓練的樣本數目
learning_rate = 0.0001 # 學習率
iteration_num = 20 # 迭代次數
optimizer = tf.keras.optimizers.Adam(learning_rate=learning_rate) # 優(yōu)化器
loss = tf.losses.BinaryCrossentropy(from_logits=True) # 損失
model = RNN(64)
# 調試輸出summary
model.build(input_shape=[None, 64])
print(model.summary())
# 組合
model.compile(optimizer=optimizer, loss=loss, metrics=["accuracy"])
def get_data():
# 獲取數據
(X_train, y_train), (X_test, y_test) = tf.keras.datasets.imdb.load_data(num_words=total_words)
# 更改句子長度
X_train = tf.keras.preprocessing.sequence.pad_sequences(X_train, maxlen=max_review_len)
X_test = tf.keras.preprocessing.sequence.pad_sequences(X_test, maxlen=max_review_len)
# 調試輸出
print(X_train.shape, y_train.shape) # (25000, 80) (25000,)
print(X_test.shape, y_test.shape) # (25000, 80) (25000,)
# 分割訓練集
train_db = tf.data.Dataset.from_tensor_slices((X_train, y_train))
train_db = train_db.shuffle(10000).batch(batch_size, drop_remainder=True)
# 分割測試集
test_db = tf.data.Dataset.from_tensor_slices((X_test, y_test))
test_db = test_db.batch(batch_size, drop_remainder=True)
return train_db, test_db
if __name__ == "__main__":
# 獲取分割的數據集
train_db, test_db = get_data()
# 擬合
model.fit(train_db, epochs=iteration_num, validation_data=test_db, validation_freq=1)
輸出結果:
Model: "rnn"
_________________________________________________________________
Layer (type) Output Shape Param #
=================================================================
embedding (Embedding) multiple 1000000
_________________________________________________________________
simple_rnn_cell (SimpleRNNCe multiple 10560
_________________________________________________________________
simple_rnn_cell_1 (SimpleRNN multiple 8256
_________________________________________________________________
dense (Dense) multiple 65
=================================================================
Total params: 1,018,881
Trainable params: 1,018,881
Non-trainable params: 0
_________________________________________________________________
None
(25000, 80) (25000,)
(25000, 80) (25000,)
Epoch 1/20
2021-07-10 17:59:45.150639: I tensorflow/compiler/mlir/mlir_graph_optimization_pass.cc:176] None of the MLIR Optimization Passes are enabled (registered 2)
24/24 [==============================] - 12s 294ms/step - loss: 0.7113 - accuracy: 0.5033 - val_loss: 0.6968 - val_accuracy: 0.4994
Epoch 2/20
24/24 [==============================] - 7s 292ms/step - loss: 0.6951 - accuracy: 0.5005 - val_loss: 0.6939 - val_accuracy: 0.4994
Epoch 3/20
24/24 [==============================] - 7s 297ms/step - loss: 0.6937 - accuracy: 0.5000 - val_loss: 0.6935 - val_accuracy: 0.4994
Epoch 4/20
24/24 [==============================] - 8s 316ms/step - loss: 0.6934 - accuracy: 0.5001 - val_loss: 0.6933 - val_accuracy: 0.4994
Epoch 5/20
24/24 [==============================] - 7s 301ms/step - loss: 0.6934 - accuracy: 0.4996 - val_loss: 0.6933 - val_accuracy: 0.4994
Epoch 6/20
24/24 [==============================] - 8s 334ms/step - loss: 0.6932 - accuracy: 0.5000 - val_loss: 0.6932 - val_accuracy: 0.4994
Epoch 7/20
24/24 [==============================] - 10s 398ms/step - loss: 0.6931 - accuracy: 0.5006 - val_loss: 0.6932 - val_accuracy: 0.4994
Epoch 8/20
24/24 [==============================] - 9s 382ms/step - loss: 0.6930 - accuracy: 0.5006 - val_loss: 0.6931 - val_accuracy: 0.4994
Epoch 9/20
24/24 [==============================] - 8s 322ms/step - loss: 0.6924 - accuracy: 0.4995 - val_loss: 0.6913 - val_accuracy: 0.5240
Epoch 10/20
24/24 [==============================] - 8s 321ms/step - loss: 0.6812 - accuracy: 0.5501 - val_loss: 0.6655 - val_accuracy: 0.5767
Epoch 11/20
24/24 [==============================] - 8s 318ms/step - loss: 0.6381 - accuracy: 0.6896 - val_loss: 0.6235 - val_accuracy: 0.7399
Epoch 12/20
24/24 [==============================] - 8s 323ms/step - loss: 0.6088 - accuracy: 0.7655 - val_loss: 0.6110 - val_accuracy: 0.7533
Epoch 13/20
24/24 [==============================] - 8s 321ms/step - loss: 0.5949 - accuracy: 0.7956 - val_loss: 0.6111 - val_accuracy: 0.7878
Epoch 14/20
24/24 [==============================] - 8s 324ms/step - loss: 0.5859 - accuracy: 0.8142 - val_loss: 0.5993 - val_accuracy: 0.7904
Epoch 15/20
24/24 [==============================] - 8s 330ms/step - loss: 0.5791 - accuracy: 0.8318 - val_loss: 0.5961 - val_accuracy: 0.7907
Epoch 16/20
24/24 [==============================] - 8s 340ms/step - loss: 0.5739 - accuracy: 0.8421 - val_loss: 0.5942 - val_accuracy: 0.7961
Epoch 17/20
24/24 [==============================] - 9s 378ms/step - loss: 0.5701 - accuracy: 0.8497 - val_loss: 0.5933 - val_accuracy: 0.8014
Epoch 18/20
24/24 [==============================] - 9s 361ms/step - loss: 0.5665 - accuracy: 0.8589 - val_loss: 0.5958 - val_accuracy: 0.8082
Epoch 19/20
24/24 [==============================] - 8s 353ms/step - loss: 0.5630 - accuracy: 0.8681 - val_loss: 0.5931 - val_accuracy: 0.7966
Epoch 20/20
24/24 [==============================] - 8s 314ms/step - loss: 0.5614 - accuracy: 0.8702 - val_loss: 0.5925 - val_accuracy: 0.7959
Process finished with exit code 0
到此這篇關于手把手教你使用TensorFlow2實現RNN的文章就介紹到這了,更多相關TensorFlow2實現RNN內容請搜索腳本之家以前的文章或繼續(xù)瀏覽下面的相關文章希望大家以后多多支持腳本之家!
您可能感興趣的文章:- tensorflow2.0實現復雜神經網絡(多輸入多輸出nn,Resnet)
- windows系統(tǒng)Tensorflow2.x簡單安裝記錄(圖文)
- TensorFlow2基本操作之合并分割與統(tǒng)計
- 詳解TensorFlow2實現前向傳播
- Python強化練習之Tensorflow2 opp算法實現月球登陸器